Парадокс дней рождения и его наглядное объяснение
В офисе, где работают 23 человека, у двоих будет день рождения в один день с вероятностью более 50%. Интуитивно в такое совпадение никак не верится. Однако легко доказывается.
Описание парадокса
Чисто умозрительно любой обыватель думает, что в офисе должно работать никак не меньше полутора сотен человек, чтобы совпадение дня рождения стало наполовину вероятным.
Однако математики говорят неприлично непонятные вещи, которые раздражают наш здравый смысл. Якобы в кучке всего из 23 человек день рождения в один день будет у двоих. И это с вероятностью, даже превышающей 50%.
Хуже того. Вероятность совпадения двух дней рождения достигает 99% знаешь при каком числе? Всего-то 57 сотрудников.
В общем, это типичная иллюстрация того, что теория вероятностей и комбинаторика являются науками контринтуитивными, то есть не согласуются с тем, как видят мир гуманитарии и офисные работники.
Насколько в математической логике все нелогично, демонстрирует еще один пример. У тебя в бухгалтерии 23 сотрудника. И в отделе кадров тоже 23 сотрудника. Вероятность совпадения дней рождения в каждом из отделов — 50%. То есть в сумме оба отдела дадут вероятность в 100%.
Ха-ха, но это не так. Не 100%. Так как бухгалтерия и отдел кадров независимы друг от друга, то вероятность складывается по более сложной формуле (в итоге шанс будет равен трем четвертям, не спрашивай почему).
Переосмысление простых вещей
Давайте будем оперировать не столько формулами, сколько здравым смыслом.
Вероятность того, что ваш менеджер по продажам бурундуков Афанасий родился 19 октября, крайне мала — 1 из 365 (или из 366, не суть важно).
Вероятность того, что ваш менеджер по продажам макраме Лолита родилась 19 октября, тоже мала — 1 из 365.
Вероятность совпадения дней рождения у двух человек и в самом деле мизерна (в районе одной пятитысячной).
Однако фокус в том, что в офисе работают не два менеджера по продажам, не только Афанасий и Лолита (у них, кстати, тайный роман), а 23 сотрудника!
Вероятность совпадения дней рождения начинает складываться по каждой паре из тех, что можно составить в офисе. А число таких пар можно набрать огромное.
Представь, что Афанасий на картинке — темный кружок. Он ведь может совпасть своим днем рождения не только с Лолитой, но и с любым из 22 сотрудников. То есть, получается, это 22 потенциальные пары только для одного Афанасия. В сумме же из всех работников офиса можно составить 253 разные пары.
А чем больше пар, тем выше вероятность, что с одной из них произойдет что-то приятное — например, совпадет день рождения!
Это важно, поэтому проговорим еще раз. Чем больше людей в офисе, тем выше растут вероятности совпадений. И этот рост более стремительный, чем предполагает наш мозг, полагаясь на одну лишь интуицию!
Вот тебе наглядный пример. Ведь маловероятно, чтобы в одной безлюдной комнате встретились два человека в кроссовках фирмы «Адидас». А в большом офисе на двадцать с лишним человек такое случается сплошь и рядом.
Точные цифры
Математически проще всего считать, отсеивая лишние варианты и вероятности. Стопроцентную вероятность математики обозначают единичкой (то есть один из одного).
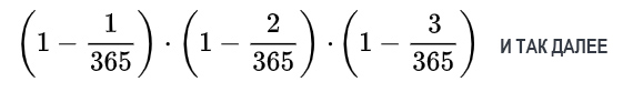
Допустим, у Афанасия день рождения 19 октября. Вероятность того, что у Полуэкта день рождения в тот же день — 1 из 365 (1/365).
И наоборот: вероятность того, что у Полуэкта день рождения в другой день, — это 1 минус 1/365. Запишем это как (1-1/365).
Вероятность того, что у третьего работника — Гаврилы — день рождения не совпадает с Афанасием и Полуэктом, чуть-чуть меньше. И записывается как (1-2/365).
Математики в итоге напишут следующую последовательность для расчета:

И получат в итоге при количестве 23 сотрудников число, округленно равное 1/2. Что и требовалось доказать.
Кстати, именно 23 — минимальное число, при котором эта вероятность становится равна 50 (даже чуть выше на самом деле — 50,73%).
0 комментариев